Dear Frnds
Good news for Science Graduates who want choose teaching sector from basic level and have valid UPTET OR CTET certificate upbasic eduation board invited online applications for
1466 Maths and
1466 Science teachers post in UttarPradesh domicile.
Qualification- Science Graduate+VBTC/BTC/B.Ed+UPTET/CTET
Selection Process : Based on academic merit
High school – 10%</ Intermediate -20%
Graduation – 30%
B.Ed/BTC Theory –
First division – 12 Marks
Second division-06 Marks
Third division -03 Marks
Practical –
First division – 12 Marks
Second division-06 Marks
Third division -03 Marks जूनियर गणित व विज्ञानं हेतु जारी संशोधित साशनादेश के कुछ महत्त्वपूर्ण–
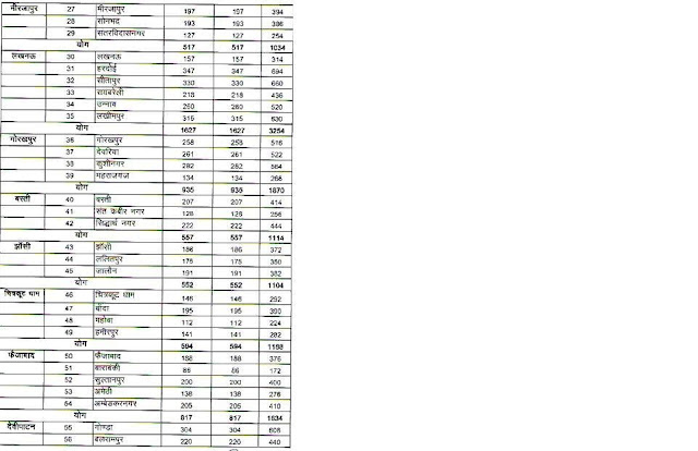
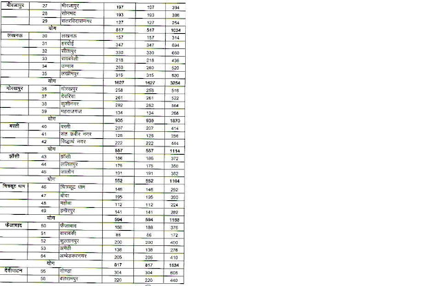
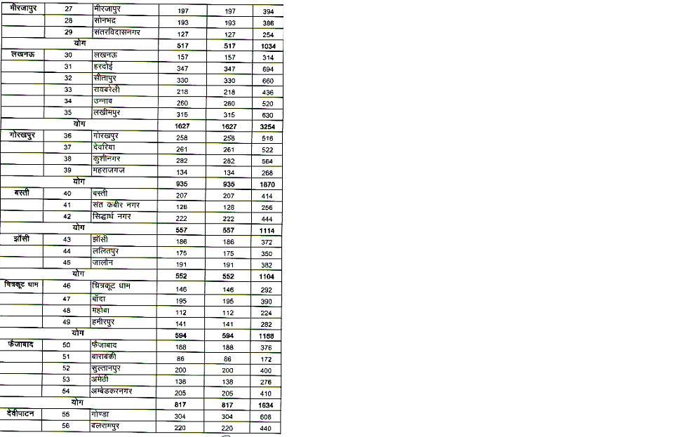
पद 14667: विज्ञानं, 14667: गणित
योग्यता: गणित या विज्ञानं से स्नातक तथा VBTC/BTC/B.Ed. तथा उच्च प्राथमिक स्तर पर UPTET/CTET उत्तीर्ण
1. विज्ञप्ति का प्रकाशन- 29 अगस्त
2. ऑनलाइन पंजीकरण- 30 अगस्त से 24 सितम्बर
3. ई-चालान का प्रिंट निकालने व शुल्क जमा करने हेतु अंतिम तिथि – 24 व 26 सितम्बर
4. आवेदन पूर्ण करने हेतु अंतिम तिथि – 30 सितम्बर
उम्र: 21 से 35 वर्ष (SC/ST/OBC हेतु 5 वर्ष की छूट)
शुल्क: SC/ST हेतु 200 रुपये तथा GEN/OBC हेतु 500 रुपये
और अंत में सबसे अच्छी सुविधा आप शुल्क स्टेट बैंक के एटीएम कार्ड या इन्टरनेट बैंकिंग द्वारा भी जमा कर सकते हैं…
और अंत में सबसे अच्छी सुविधा आप शुल्क स्टेट बैंक के एटीएम कार्ड या इन्टरनेट बैंकिंग द्वारा भी जमा कर सकते हैं…
WEBSITE: www.upbasiceduboard.gov.in

